The Daily Insight

Connected.Informed.Engaged.

news

Buyer Mandate - How To Discuss

Writer Rachel Newton

Buyer Mandate

What is a Buyer Warrant?

A buyer’s warrant is a contract between a buyer and a broker that gives the broker legal liability to the buyer and acts on his behalf in a real estate transaction.

What is also a real estate mandate?

A warrant is an agreement between a seller and the real estate agent or agents about the sale of real estate, the length of the contract and the obligations of both parties. There are three common types of mandates: single mandate, multilist mandate and open / dual mandate.

We can also ask ourselves: what is an open mandate?

Open mandate. If your property is listed as pending, it means that any real estate agent who has obtained permission from the seller can sell and sell the property for a commission. If a property is an open firm, no broker can claim the exclusive right to sell and market the property.

What is a written permit from here?

Mandate. Authorization and / or written instruction from one person, group or organization (the mandate) to another (the authorization) to perform a specific action. It is usually revocable until its ■■■■■■■■■; the mandate automatically lapses in the event of bankruptcy, disability, resignation or death of the customer.

What is the difference between an exclusive consultation and an exclusive mandate?

For proper terminology, it helps to know that an exclusive mandate is a formal instruction to a real estate agent to have the exclusive right to sell a client’s property for a period of time, while an exclusive mandate allows the owner to own the property as good for sale in his private property.

What is the purpose of an arrest warrant?

Name. an order or power of attorney to act in a public matter in a public matter from the electorate to its representative: the president had a clear mandate to end the war. an order from a higher court or a lower-ranking official: the court ruled on the appeal and issued an arrest warrant against the court.

How does an authorization work?

In politics, an electoral college gives authority the mandate to act as its representative. It is often said that elections, particularly high-margin ones, implicitly require the newly elected government or elected officials to implement certain policies.

Is a mandate legally binding?

An arrest warrant is a legally binding agreement. It is therefore important that the terms of the mandate are clear.

Can you escape from a single family home?

You can cancel a one-time mandate in writing (20 business days if RE / MAX offers you a service guarantee after the cooling-off period and cancel it immediately if you wish).

Can I sell my house privately after being brokered by a real estate agent?

Dealer Exclusive Rights Agreement - The agent in the contract is the only one authorized to sell your home during the period specified in the agreement. So you have to pay the broker even if you find a buyer yourself. You only pay a commission to the agent who sells your home.

What does it mean to trade in real estate?

An individual permit is a written agreement (regulation) that grants an agency the exclusive right to market and sell your property.

What does double authorization mean?

A double term is the practice of elected representatives who simultaneously hold more than one elected term or other public office. Sometimes two terms are prohibited by law. In federal states, for example, federal officials are often not authorized to hold state office.

What does single mandate mean?

EXCLUSIVE SINGLE MANDATE. (The word mandate means authorization and power of attorney and constitutes an agreement. The words exclusive mean that the seller is not authorized to sell the property through his own business or the activity of other agents during this agreement.)

What examples of mandates are given ?

?

The best-known examples of Congressional mandates are environmental regulations such as air and water quality laws, which require government agencies to enforce certain mandatory standards. Sometimes the estimated cost of these mandates to government agencies can be extremely high.

What is the difference between mission and purpose?

The difference between mandate and objective as a verb is that mandate is objective.

What is the synonym for mandate?

Synonyms for mandate | new authority, mandate. Mission. Decision. Directive. Verdict.

How do you write a mandate statement?

Tips for Creating an Effective Mission Statement Be short and sweet. Summarize the company’s mission in a few sentences. Don’t write an essay. Think long term. Don’t make it too restrictive. Find out what your employees think about the declaration of employment. Don’t be afraid to change it.

How do you write a team mandate?

The team gives you everything you need to know about what and why - what to say about the problem or opportunity and why versus importance. Identify key stakeholders and their perceived or, preferably, agreed upon needs and concerns. Mission and objectives of the teams. Composition and roles. Authority and limits.

What are financial mandates?

Mandate. Allocating funds to an investment manager managed for a specific purpose or style. It also refers to the formal agreement to advise or organize project funding.

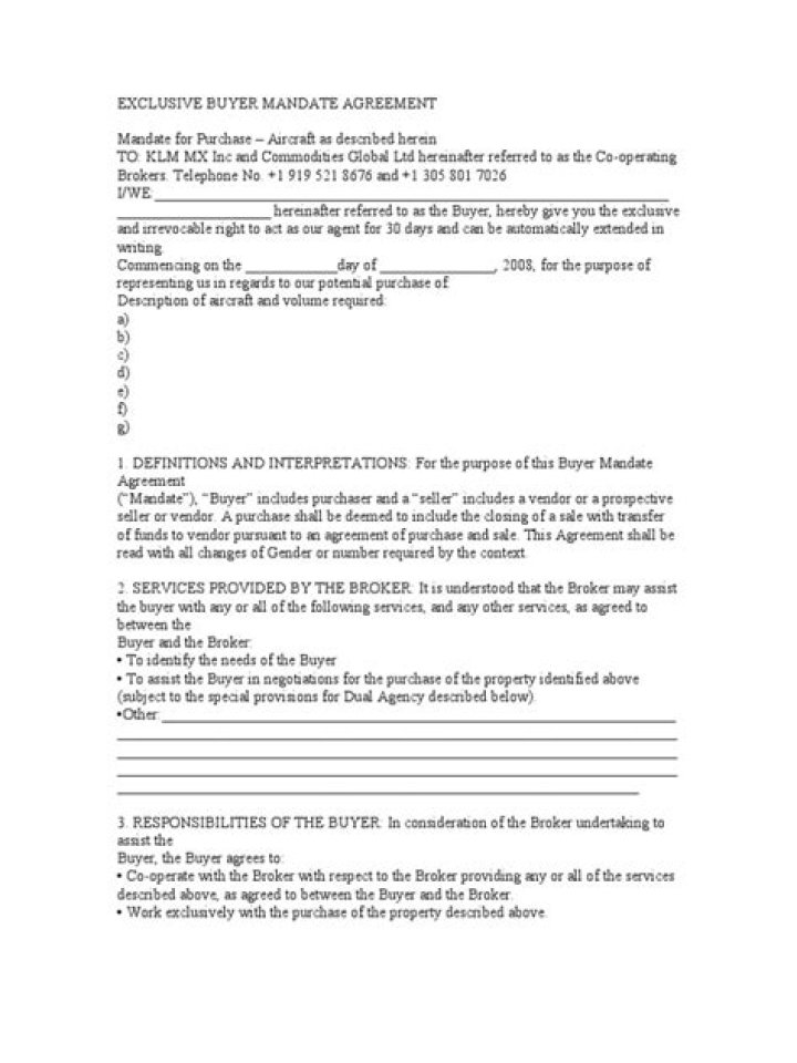
Buyer Mandate